x
k l a r c h e m

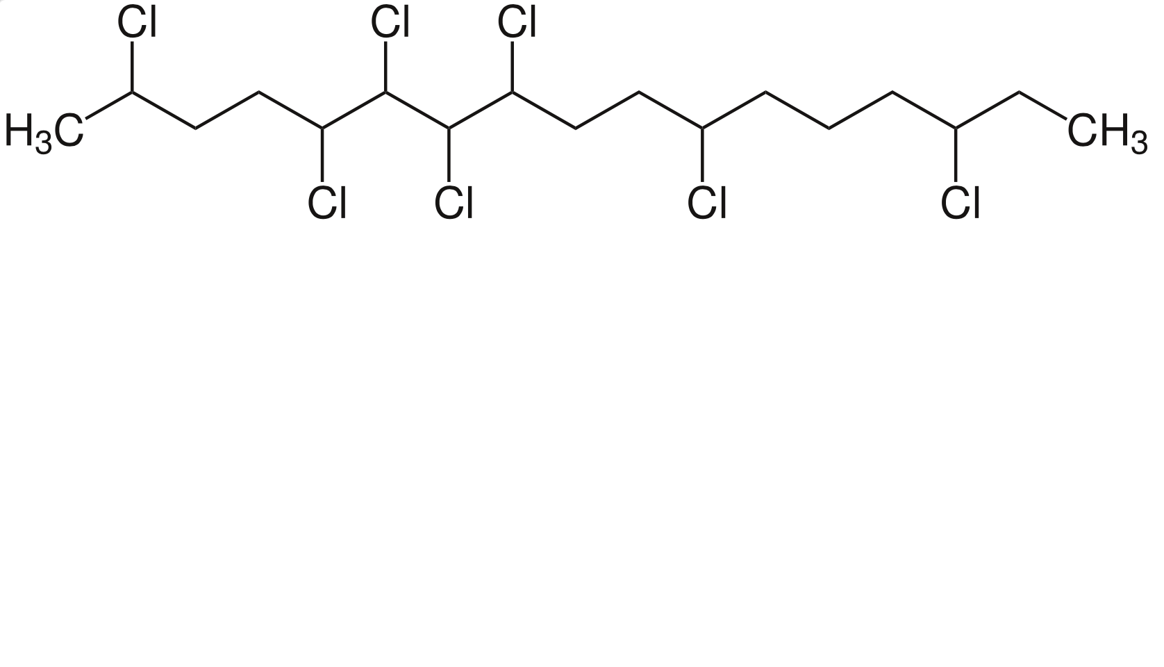
Chlorinated Paraffin

Chemical Product

Chlorinated Paraffin

    Synonyms:
    Chlorinated Alkanes, CP, Chlorinated Paraffin Wax
    Molecular Formula:
    C10H20Cln (where n varies with chlorine content)
    Cas Number:
    63449-39-8
    Molecular Weight:
    Varies with chlorine content
    Product Description:
    Chlorinated Paraffins are a group of chemicals made by chlorinating paraffin hydrocarbons. They are used as plasticizers, flame retardants, and lubricants, and have applications in a wide range of industries including plastics, coatings, and rubber.
    Applications:
    - Plastics Industry: Used as a plasticizer in the production of PVC and other polymers. - Flame Retardants: Applied in coatings and textiles to enhance fire resistance. - Metalworking: Used as a lubricant and cutting fluid in metalworking operations. - Rubber Industry: Used as a processing aid in the manufacture of rubber products. - Paint and Coatings: Used as an additive to improve stability and durability.

Physical and Chemical Properties:


Properties
Appearance Colorless to pale yellow liquid or solid
Odor Slight odor
Molecular Formula C10H20Cln (varies)
Molecular Weight Varies with chlorine content
Melting Point Varies with chlorine content
Density 1.2 - 1.6 g/cm³
Solubility Insoluble in water, soluble in organic solvents
Flash Point 230 - 270 °C
Chemical Stability Stable under normal conditions, but reacts with strong acids and alkalis
  • Product Description
  • Applications
  • Physical and Chemical Properties
Chlorinated Paraffins are a group of chemicals made by chlorinating paraffin hydrocarbons. They are used as plasticizers, flame retardants, and lubricants, and have applications in a wide range of industries including plastics, coatings, and rubber.
- Plastics Industry: Used as a plasticizer in the production of PVC and other polymers. - Flame Retardants: Applied in coatings and textiles to enhance fire resistance. - Metalworking: Used as a lubricant and cutting fluid in metalworking operations. - Rubber Industry: Used as a processing aid in the manufacture of rubber products. - Paint and Coatings: Used as an additive to improve stability and durability.

Physical and Chemical Properties:


Properties Data
Appearance Colorless to pale yellow liquid or solid
Odor Slight odor
Molecular Formula C10H20Cln (varies)
Molecular Weight Varies with chlorine content
Melting Point Varies with chlorine content
Density 1.2 - 1.6 g/cm³
Solubility Insoluble in water, soluble in organic solvents
Flash Point 230 - 270 °C
Chemical Stability Stable under normal conditions, but reacts with strong acids and alkalis